三菱ケミカルのニュースリリースに以下のようなものがありました。
植物由来の繊維「ソアロン™」を使用したアパレルブランド「age3026™」新作アイテム発売と展示受注会の開催について
age3026 公式サイト
https://age3026.com/
私は全く知らなかったのですが、三菱ケミカルは2021年3月にアパレルブランドを立ち上げていたようです。
このアパレルブランドの特長は、三菱ケミカルでのみ生産されている植物由来の繊維「ソアロン」を生地として使用している点です。
ソアロンとは?
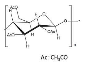
天然のパルプを使用した植物系原料の良さと化学系原料の合成繊維の良さを併せ持つ半合成繊維トリアセテート 。その商品名がソアロンです。世界で唯一、三菱ケミカルのみが製造するソアロンは世界中で高い評価を得ています。
三菱ケミカル ソアロンのページより

上の図ではかなり抽象的ですが、トリアセテートというのは化学的にはアセチルセルロース、セルローストリアセテートなどと呼ばれ、セルロースのフリーな3つのヒドロキシ基が全てアセチル化されたものを指します。

アセテート繊維などはたまに聞くことはありますが、ナイロンなどに比べるとあまり服飾系では馴染みのない繊維ですね。
アセトキシ基がたくさん付いているので、これを使った服をアルカリ系洗剤を使って洗濯すると加水分解が起こって全部外れてしまいそうですね。
さて、そんなソアロンを使用した服ですが、三菱ケミカルの運営するage3026ではどんなアイテムなのか。
公式ホームページを見ると意識高そうな感じがプンプンします。
先のニュースリリースにアイテムと価格が載っていましたが……


高くね…?(´・ω・`)
長袖のTシャツが19,300円、ノーカラージャケットとベストのセットで66,000円とは……
これがそこそこ名の知れたブランドとかならまだわかるのですが、立ち上がって1年のブランドでこの価格はなかなか攻めている感じがします。
まぁブランド価値の価格というよりはソアロンの製造コストがかかっているのかな、という気がしないでもないのですが……
書いてあるように着心地も良く、シワにもなりにくいならこの価格でも……いや、私はしまむらでいいです……
この価格を高いと思ってしまう私は、おそらくこのブランドの客層ではないのでしょう。
東京では今週末の3/27(日)に渋谷・表参道で、その次は京都で4/9(土)に展示受注会が行われるそうなので、気になる方は足を運んで実際に見たり触ったりしてみるといいかもしれません。
かく言う私は購入する気はありませんが、ソアロン繊維の素材そのものは気になりますので、それだけ見にいきたいです。